Files
blog/assets/img/posts/Lecture Notes/Modern Cryptography/mc-04-cbc-mac.png
Sungchan Yi 8afb4b7f40 [PUBLISHER] upload files #104
* PUSH NOTE : 4. Message Authentication Codes.md

* PUSH ATTACHMENT : mc-04-mac.png

* PUSH ATTACHMENT : mc-04-mac-security.png

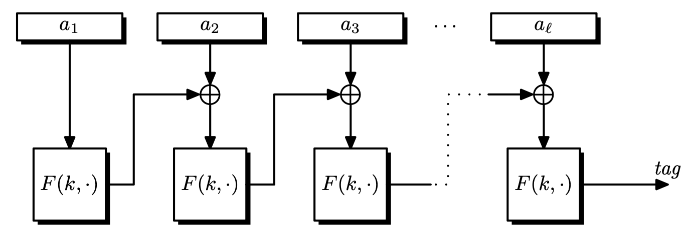
* PUSH ATTACHMENT : mc-04-cbc-mac.png

* PUSH ATTACHMENT : mc-04-ecbc-mac.png
2023-10-18 01:53:03 +09:00

10 KiB
1374x466px

/calofmijuck/blog/raw/commit/2a859e647b38256ceab6831f2feb20d4e58867e8/assets/img/posts/Lecture%20Notes/Modern%20Cryptography/mc-04-cbc-mac.png